B. Chemisches Gleichgewicht
B.3. Säure und Base
 
Beispielaufgaben Interaktive Aufgaben Übungsaufgaben
 

  1. Welche Konzentrationen an CO32- und HCO3- sind in einer Lösung von CO2 in Wasser, wenn c(CO2) = 0,03 mol/L (entspricht etwa einem "Mineralwasser") ist?
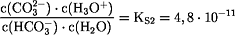
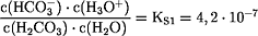
    Die zu berücksichtigenden Gleichgewichte sind:

    Lösung:

     

    Die zweite Dissoziation beeinflußt die im ersten Schritt gebildeten Ionen H3O+ und HCO3-kaum:

 
     
Inhaltsübersicht Glossar Stichwortverzeichnis Konstanten PSE